Git和GitHub是任何想要编程的数据科学专业人员的必备工具 在此面向初学者的综合指南中,可以了解到Git和GitHub的相关内容和意义
介绍

目录
什么是Git? 什么是GitHub? 熟悉Git术语 Git入门 初始化存储库 配置Git 了解如何在Git中提交文件 查看日志 在GitHub上上传到远程存储库 将Git远程添加到你的存储库 使用Push 克隆GitHub存储库 分支与合并 使用Pull 为世界贡献力量 尾注
什么是Git?
什么是GitHub?
(https://www.analyticsvidhya.com/blog/tag/github-repositories)
熟悉Git术语
存储库(Repository)

远程存储库包含你的项目,任何人从任何地方都可以访问它。你的远程存储库位于GitHub服务器上,任何人都可以访问它们 本地存储库是驻留在本地计算机上的远程存储库的副本。你所做的所有更改将保存在本地存储库中。除非你将它们推送到远程存储库,否则你的同伴开发人员将无法看到它们
克隆(Cloning)
提交(Commit)
推送(Push)
拉取(Pull)
Git入门
打开终端或Git Bash 键入命令cd,这意味着更改目录(或文件夹) 导航到项目文件夹所在的位置,但不要打开它 现在,只需将文件夹拖放到终端内即可,这会将终端导航到你的项目目录/工作目录

初始化存储库


配置Git

了解如何在Git中提交文件
git add <file-name>将它们添加到本地Git存储库中。
git add。


Git commit-m“<commit message>”将它们保存在Git repo中




查看日志

在GitHub上上传到远程存储库
创建远程存储库的步骤
在右上角,单击+号,然后单击新建存储库:

在下一页上,为你的存储库命名并提供简短描述,完成后,点击创建存储库:

将Git远程添加到你的存储库

git remote add origin <URL>来做到这一点
使用Push
git push -u origin <branch-name>将本地存储库转移到GitHub服务器上的远程存储库

克隆GitHub存储库
git clone命令(https://git-scm.com/docs/git-clone) 获得此存储库的副本,然后开发人员可以处理其本地存储库副本,对其进行更改,然后将其上传到远程存储库上。


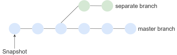
分支与合并

git branch创建一个新分支,这将包含master分支中存在的所有文件,你也可以在此分支上更改文件。一旦确信代码运行良好,就可以使用git merge命令(https://git-scm.com/docs/git-merge) 将其与master分支集成。
git branch <branch-name>创建一个新分支。

git checkout <branch-name>在另一个分支中工作


git merge <branch name> -m “<message>”命令从要将其合并到的分支上(在本例中是主分支)执行此操作,这将使循环分支与主分支合并:
使用Pull

git pull origin <branch-name>

为世界贡献力量



尾注
https://www.analyticsvidhya.com/blog/2019/08/7-innovative-machine-learning-github-projects-in-python/
© 版权声明
文章版权归作者所有,未经允许请勿转载。
相关文章
暂无评论...











